Упр.33 ГДЗ Алимов 10-11 класс (Алгебра)
Решение #1
Решение #2

Рассмотрим вариант решения задания из учебника Алимов, Колягин, Ткачёва 10 класс, Просвещение:
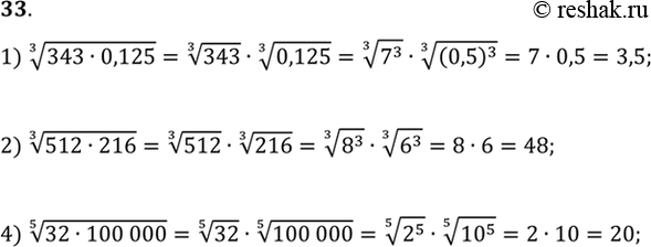
33. 1) корень 3 степени (343*0,125);
2) корень 3 степени (512*216);
3) корень 5 степени (32*100 000);
*размещая тексты в комментариях ниже, вы автоматически соглашаетесь с пользовательским соглашением