Упр.36 ГДЗ Алимов 10-11 класс (Алгебра)

Решение #1

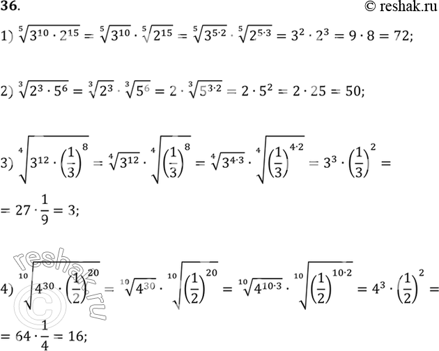
Изображение 36. 1) корень 5 степени (3^10 * 2^15);2) корень 3 степени (2^3 * 5^6);3) корень 4 степени (3^12 * (1/3)^8);4) корень 10 степени (4^30 *...

Решение #2

Изображение 36. 1) корень 5 степени (3^10 * 2^15);2) корень 3 степени (2^3 * 5^6);3) корень 4 степени (3^12 * (1/3)^8);4) корень 10 степени (4^30 *...
Загрузка...

Рассмотрим вариант решения задания из учебника Алимов, Колягин, Ткачёва 10 класс, Просвещение:
36. 1) корень 5 степени (3^10 * 2^15);
2) корень 3 степени (2^3 * 5^6);
3) корень 4 степени (3^12 * (1/3)^8);
4) корень 10 степени (4^30 * (1/2)^20);
*Цитирирование задания со ссылкой на учебник производится исключительно в учебных целях для лучшего понимания разбора решения задания.
*размещая тексты в комментариях ниже, вы автоматически соглашаетесь с пользовательским соглашением